山东罗欣药业集团股份有限公司招标公告
【规 格】(1)10m����� �������Ƴ����������� �������Ƴ������������ �������Ƴ������������ �������Ƴ������g;(2)20mg
【包 装】铝塑板,6片/板;1����� �������Ƴ������������ �������Ƴ������������ �������Ƴ������������ �������Ƴ�������0片/板;12片/板;14片/板;1����� �������Ƴ������������ �������Ƴ������������ �������Ƴ������������ �������Ƴ�������5片/板;1板/盒;2板/����� �������Ƴ������������ �������Ƴ������������ �������Ƴ������������ �������Ƴ������盒
【单 位】片
【批准文号】10mg:国����� �������Ƴ������������ �������Ƴ������������ �������Ƴ������������ �������Ƴ�������药准字H20065731����� �������Ƴ������������ �������Ƴ������������ �������Ƴ������������ �������Ƴ������;20mg:国药准字H2����� �������Ƴ������������ �������Ƴ������������ �������Ƴ������������ �������Ƴ�������0065732。
【药品名称】
&����� �������Ƴ������������ �������Ƴ������������ �������Ƴ������������ �������Ƴ�������nbsp; 通用名称:洛伐����� �������Ƴ������������ �������Ƴ������������ �������Ƴ������������ �������Ƴ�������他汀片
&����� �������Ƴ������������ �������Ƴ������������ �������Ƴ������������ �������Ƴ�������nbsp; 英文名称:Lovastati����� �������Ƴ������������ �������Ƴ������������ �������Ƴ����������� �������Ƴ�������n Tablets
&nb����� �������Ƴ������������ �������Ƴ����������� �������Ƴ������������ �������Ƴ������sp; 汉语拼音:Luof����� �������Ƴ������������ �������Ƴ������������ �������Ƴ������������ �������Ƴ�������atating Pian
【成  ����� �������Ƴ������������ �������Ƴ������������ �������Ƴ������������ �������Ƴ�������; 份】本品主要成份为����� �������Ƴ������������ �������Ƴ������������ �������Ƴ������������ �������Ƴ�������洛伐他汀。
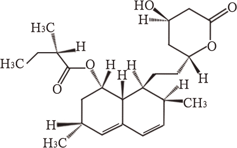
化学����� �������Ƴ������������ �������Ƴ������������ �������Ƴ����������� �������Ƴ������名称:(S)-2-甲基丁酸-(1S,3R����� �������Ƴ������������ �������Ƴ������������ �������Ƴ������������ �������Ƴ�������,7S,8S,8aR)-1,2,3,7,8,8����� �������Ƴ������������ �������Ƴ������������ �������Ƴ����������� �������Ƴ�������a-六氢-3,7-二甲基-8����� �������Ƴ������������ �������Ƴ����������� �������Ƴ������������ �������Ƴ�������{2-[(2R,4R)-4-羟基-6-氧代-2H����� �������Ƴ������������ �������Ƴ������������ �������Ƴ����������� �������Ƴ�������-四氢吡喃基]-乙基}-1����� �������Ƴ������������ �������Ƴ����������� �������Ƴ������������ �������Ƴ�������-萘酯。
&n����� �������Ƴ������������ �������Ƴ����������� �������Ƴ����������� �������Ƴ�������bsp; 化学结构式:

����� �������Ƴ������������ �������Ƴ������������ �������Ƴ������������ �������Ƴ������ ����� �������Ƴ����������� �������Ƴ������������ �������Ƴ����������� �������Ƴ������� &n����� �������Ƴ������������ �������Ƴ������������ �������Ƴ������������ �������Ƴ�������bsp; &n����� �������Ƴ����������� �������Ƴ������������ �������Ƴ������������ �������Ƴ�������bsp; ����� �������Ƴ������������ �������Ƴ������������ �������Ƴ������������ �������Ƴ������� &nbs����� �������Ƴ������������ �������Ƴ������������ �������Ƴ������������ �������Ƴ�������p;  ����� �������Ƴ������������ �������Ƴ������������ �������Ƴ������������ �������Ƴ�������; &n����� �������Ƴ������������ �������Ƴ������������ �������Ƴ������������ �������Ƴ������bsp;
分子式:C24H36O5
分子量:404.55
【性 状】����� �������Ƴ������������ �������Ƴ������������ �������Ƴ������������ �������Ƴ�������
&n����� �������Ƴ������������ �������Ƴ������������ �������Ƴ������������ �������Ƴ�������bsp; 本品为白色或类白色片。����� �������Ƴ������������ �������Ƴ������������ �������Ƴ������������ �������Ƴ�������
【规 &nbs����� �������Ƴ������������ �������Ƴ������������ �������Ƴ������������ �������Ƴ�������p; 格】(1)10mg;(2)20mg
【不良反应】
 ����� �������Ƴ������������ �������Ƴ������������ �������Ƴ������������ �������Ƴ�������; 常见不良反应为恶心、消化不良、腹痛����� �������Ƴ������������ �������Ƴ������������ �������Ƴ����������� �������Ƴ�������、胃肠胀气、腹泻、便秘、视力障碍、眩晕、头痛、肌����� �������Ƴ������������ �������Ƴ������������ �������Ƴ������������ �������Ƴ�������痛、肌痉挛、皮疹等。肝炎、过敏反应综合����� �������Ƴ������������ �������Ƴ������������ �������Ƴ������������ �������Ƴ�������征、多形性红斑。实验室检查,可见����� �������Ƴ������������ �������Ƴ������������ �������Ƴ����������� �������Ƴ�������血清转氨酶或磷酸肌酸激酶轻、中度升高,罕见显著����� �������Ƴ������������ �������Ƴ������������ �������Ƴ����������� �������Ƴ�������升高。也有报导碱性磷酸酶、胆红素水平����� �������Ƴ������������ �������Ƴ������������ �������Ƴ������������ �������Ƴ�������升高。
&nb����� �������Ƴ������������ �������Ƴ������������ �������Ƴ������������ �������Ƴ�������sp; 1.他汀类药品的����� �������Ƴ������������ �������Ƴ������������ �������Ƴ������������ �������Ƴ�������上市后监测中有高血糖反应、糖耐量异常、糖����� �������Ƴ����������� �������Ƴ������������ �������Ƴ����������� �������Ƴ�������化血红蛋白水平升高、新发糖尿病、血糖控制����� �������Ƴ������������ �������Ƴ������������ �������Ƴ������������ �������Ƴ������恶化的报告,部分他汀类药品亦有低血糖反应的报告����� �������Ƴ������������ �������Ƴ����������� �������Ƴ����������� �������Ƴ�������。
����� �������Ƴ������������ �������Ƴ������������ �������Ƴ������������ �������Ƴ������� 2.上市后经验:他汀类药品����� �������Ƴ������������ �������Ƴ����������� �������Ƴ������������ �������Ƴ�������的国外上市后监测中有罕见的认����� �������Ƴ������������ �������Ƴ����������� �������Ƴ������������ �������Ƴ�������知障碍的报道,表现为记忆力丧失、记忆力����� �������Ƴ������������ �������Ƴ������������ �������Ƴ������������ �������Ƴ�������下降、思维混乱等,多为非严重、可逆性反应,一般停����� �������Ƴ����������� �������Ƴ������������ �������Ƴ����������� �������Ƴ������药后即可恢复。
【禁 &nbs����� �������Ƴ����������� �������Ƴ������������ �������Ƴ������������ �������Ƴ�������p; 忌】
1、对本����� �������Ƴ������������ �������Ƴ������������ �������Ƴ������������ �������Ƴ�������品任何成分过敏者禁用。
2、����� �������Ƴ������������ �������Ƴ������������ �������Ƴ������������ �������Ƴ�������肝脏活动性病变或血清转氨酶持续����� �������Ƴ������������ �������Ƴ������������ �������Ƴ������������ �������Ƴ�������升高而无法解释者禁用。
&nb����� �������Ƴ������������ �������Ƴ������������ �������Ƴ������������ �������Ƴ�������sp; 3、孕妇及哺乳妇女禁用。
【注意事项】
&nb����� �������Ƴ������������ �������Ƴ������������ �������Ƴ������������ �������Ƴ�������sp; 1、使用本品前及用药期间应定期检查血����� �������Ƴ������������ �������Ƴ������������ �������Ƴ������������ �������Ƴ�������清转氨酶。若血清转氨酶持续升高并����� �������Ƴ������������ �������Ƴ������������ �������Ƴ����������� �������Ƴ������上升至正常值上限三倍以上时,应停止用药。
2、����� �������Ƴ������������ �������Ƴ������������ �������Ƴ������������ �������Ƴ�������用药期间出现弥漫性肌痛、肌肉����� �������Ƴ������������ �������Ƴ������������ �������Ƴ������������ �������Ƴ�������压缩或软弱等疑为肌病症状和/或磷酸����� �������Ƴ����������� �������Ƴ������������ �������Ƴ������������ �������Ƴ������肌酸激酶显著升高,应停止用药。
3、����� �������Ƴ����������� �������Ƴ������������ �������Ƴ������������ �������Ƴ�������本品仅有中度降低甘油三酯作用����� �������Ƴ������������ �������Ƴ������������ �������Ƴ������������ �������Ƴ�������,故不适用于以高甘油三酯����� �������Ƴ������������ �������Ƴ������������ �������Ƴ������������ �������Ƴ�������为主要异常(既高血脂I、 IV 和 V型����� �������Ƴ������������ �������Ƴ����������� �������Ƴ������������ �������Ƴ�������)的患者。
&nbs����� �������Ƴ������������ �������Ƴ������������ �������Ƴ������������ �������Ƴ������p; 4.患有罕见的纯合子家庭性����� �������Ƴ������������ �������Ƴ������������ �������Ƴ������������ �������Ƴ�������高胆固醇血症者,可能由于患者缺乏功能性����� �������Ƴ������������ �������Ƴ������������ �������Ƴ������������ �������Ƴ�������LDL受体,服用本品似更易出现血清转氨酶����� �������Ƴ������������ �������Ƴ������������ �������Ƴ������������ �������Ƴ�������的升高。
5、����� �������Ƴ������������ �������Ƴ������������ �������Ƴ������������ �������Ƴ�������若病人有急性或严重情况,特����� �������Ƴ������������ �������Ƴ������������ �������Ƴ������������ �������Ƴ�������别是易发生继发于横纹肌溶����� �������Ƴ������������ �������Ƴ������������ �������Ƴ������������ �������Ƴ�������解的肾脏衰竭者,包括严重����� �������Ƴ������������ �������Ƴ������������ �������Ƴ����������� �������Ƴ�������急性感染、低血压、大手术、����� �������Ƴ������������ �������Ƴ������������ �������Ƴ������������ �������Ƴ�������外伤、严重代谢、内分泌或电解质平衡紊乱和����� �������Ƴ������������ �������Ƴ������������ �������Ƴ����������� �������Ƴ�������不能控制的抽搐,均应暂停或终止使用����� �������Ƴ������������ �������Ƴ������������ �������Ƴ������������ �������Ƴ�������服洛伐他汀治疗。
6、接收免����� �������Ƴ������������ �������Ƴ������������ �������Ƴ������������ �������Ƴ�������疫抑制治疗的病人,正在服用吉非罗齐或烟����� �������Ƴ������������ �������Ƴ������������ �������Ƴ������������ �������Ƴ�������酸并同时服用本品曾有导致肌病的报导,故应����� �������Ƴ������������ �������Ƴ������������ �������Ƴ������������ �������Ƴ�������权衡利弊。
7、����� �������Ƴ������������ �������Ƴ������������ �������Ƴ������������ �������Ƴ�������本品与红霉素同时使用时,应慎重。
����� �������Ƴ������������ �������Ƴ������������ �������Ƴ������������ �������Ƴ�������8、儿童用药的安全性和效果尚未确定����� �������Ƴ������������ �������Ƴ����������� �������Ƴ������������ �������Ƴ�������。
【孕妇及哺乳期妇女用药】未进行该项����� �������Ƴ������������ �������Ƴ������������ �������Ƴ������������ �������Ƴ�������实验且无可靠参考文献。
【儿童用药】未进行该项实验且无可靠参����� �������Ƴ������������ �������Ƴ������������ �������Ƴ����������� �������Ƴ�������考文献。
【老年用药】未进行该项实验且无����� �������Ƴ������������ �������Ƴ������������ �������Ƴ������������ �������Ƴ�������可靠参考文献。
【药物相互作用】他汀类药物,����� �������Ƴ������������ �������Ƴ����������� �������Ƴ������������ �������Ƴ�������即3-羟-3甲戊二酰辅酶A(HMG-����� �������Ƴ������������ �������Ƴ������������ �������Ƴ������������ �������Ƴ�������CoA)还原酶抑制剂,为一类临床广泛使用的口����� �������Ƴ������������ �������Ƴ������������ �������Ƴ������������ �������Ƴ�������服降脂药。主要作用为降低血液中低密度脂����� �������Ƴ������������ �������Ƴ������������ �������Ƴ������������ �������Ƴ�������蛋白胆固醇水平,达到预防����� �������Ƴ������������ �������Ƴ����������� �������Ƴ����������� �������Ƴ�������和治疗心血管疾病(如高胆固醇血症、冠心病)的����� �������Ƴ������������ �������Ƴ������������ �������Ƴ������������ �������Ƴ�������目的。国内上市的他汀类产品包括:辛伐����� �������Ƴ����������� �������Ƴ������������ �������Ƴ������������ �������Ƴ�������他汀、洛伐他汀、普伐他汀、瑞舒伐����� �������Ƴ������������ �������Ƴ������������ �������Ƴ����������� �������Ƴ�������他汀、阿托伐他汀、氟伐他汀、匹伐他汀。����� �������Ƴ������������ �������Ƴ������������ �������Ƴ������������ �������Ƴ������
一、血糖异常
血糖异常为他汀类新的不良反����� �������Ƴ������������ �������Ƴ������������ �������Ƴ������������ �������Ƴ�������应,临床试验及个例报告发现该类药品可引起患者血����� �������Ƴ������������ �������Ƴ������������ �������Ƴ������������ �������Ƴ�������糖异常,表现为空腹血糖水平����� �������Ƴ������������ �������Ƴ������������ �������Ƴ������������ �������Ƴ�������升高、糖化血红蛋白水平升高、新发糖尿病、����� �������Ƴ������������ �������Ƴ������������ �������Ƴ������������ �������Ƴ�������糖尿病血糖控制恶化等。为此,欧盟和美����� �������Ƴ������������ �������Ƴ������������ �������Ƴ����������� �������Ƴ�������国药品监管部门先后对此风����� �������Ƴ������������ �������Ƴ������������ �������Ƴ������������ �������Ƴ������险进行了评估,并得出了相似的����� �������Ƴ������������ �������Ƴ����������� �������Ƴ������������ �������Ƴ�������结论,认为他汀类的使用与新发糖尿病、����� �������Ƴ������������ �������Ƴ������������ �������Ƴ������������ �������Ƴ�������糖化血红蛋白和/或空腹血糖水平升高存在较����� �������Ƴ������������ �������Ƴ������������ �������Ƴ������������ �������Ƴ�������为明确的相关性。
(一)血糖异常风险及证据
与他汀类药品相关的临床试验和荟萃����� �������Ƴ������������ �������Ƴ����������� �������Ƴ����������� �������Ƴ�������分析证实了此类药物与血糖异常风险的����� �������Ƴ������������ �������Ƴ������������ �������Ƴ������������ �������Ƴ�������相关性。有关瑞舒伐他汀的一项临床试验(JUPI����� �������Ƴ������������ �������Ƴ������������ �������Ƴ������������ �������Ƴ�������TER)结果显示,与接受安慰剂治疗的患者相����� �������Ƴ������������ �������Ƴ������������ �������Ƴ����������� �������Ƴ�������比,瑞舒伐他汀治疗组患者中����� �������Ƴ������������ �������Ƴ������������ �������Ƴ������������ �������Ƴ�������报告的糖尿病增加了27%����� �������Ƴ������������ �������Ƴ������������ �������Ƴ������������ �������Ƴ������。在涉及普伐他汀和阿托伐他汀����� �������Ƴ������������ �������Ƴ������������ �������Ƴ������������ �������Ƴ�������的临床试验中(PROVE-IT TI����� �������Ƴ������������ �������Ƴ����������� �������Ƴ������������ �������Ƴ�������MI 22)发现,大剂量阿托伐他汀与血糖控����� �������Ƴ������������ �������Ƴ������������ �������Ƴ������������ �������Ƴ������制恶化有关。Sattar等对包括91,140����� �������Ƴ������������ �������Ƴ������������ �������Ƴ������������ �������Ƴ�������例受试者的13项他汀类药物试验进行了一项����� �������Ƴ������������ �������Ƴ������������ �������Ƴ������������ �������Ƴ������荟萃分析,结果表明他汀类药物治疗可使新发糖����� �������Ƴ������������ �������Ƴ������������ �������Ƴ������������ �������Ƴ�������尿病风险升高9%(OR=1.09;95%C����� �������Ƴ������������ �������Ƴ������������ �������Ƴ������������ �������Ƴ�������I 1.02-1.17),各����� �������Ƴ������������ �������Ƴ����������� �������Ƴ������������ �������Ƴ�������试验之间基本无异质性。经����� �������Ƴ������������ �������Ƴ������������ �������Ƴ������������ �������Ƴ�������研究者计算,该结果表示每1000人/年将增����� �������Ƴ������������ �������Ƴ������������ �������Ƴ����������� �������Ƴ�������加约1例糖尿病患者。Rajpathak等的荟萃����� �������Ƴ������������ �������Ƴ����������� �������Ƴ������������ �������Ƴ�������分析包含了6项他汀类药物����� �������Ƴ������������ �������Ƴ������������ �������Ƴ������������ �������Ƴ�������试验,共计57,593名受试者,同样指出糖尿病风����� �������Ƴ������������ �������Ƴ������������ �������Ƴ����������� �������Ƴ������险有轻微升高(RR=1.13,95%CI����� �������Ƴ������������ �������Ƴ������������ �������Ƴ������������ �������Ƴ������� 1.03-1.23),也没����� �������Ƴ������������ �������Ƴ������������ �������Ƴ������������ �������Ƴ�������有证据说明各试验之间存在����� �������Ƴ������������ �������Ƴ������������ �������Ƴ����������� �������Ƴ�������异质性。
欧盟评估结论认为,已有充分证����� �������Ƴ������������ �������Ƴ������������ �������Ƴ������������ �������Ƴ�������据证明他汀类的使用与新发糖����� �������Ƴ����������� �������Ƴ������������ �������Ƴ������������ �������Ƴ�������尿病相关,并将他汀类归类为可能引起血糖升高����� �������Ƴ������������ �������Ƴ����������� �������Ƴ����������� �������Ƴ�������的药物。尽管如此,与他汀类����� �������Ƴ������������ �������Ƴ������������ �������Ƴ������������ �������Ƴ������治疗出现的糖尿病病例相比����� �������Ƴ������������ �������Ƴ������������ �������Ƴ������������ �������Ƴ�������,在相同治疗期间内该类药品可减����� �������Ƴ������������ �������Ƴ������������ �������Ƴ������������ �������Ƴ�������少更多的死亡或心肌梗死、中风或冠����� �������Ƴ����������� �������Ƴ������������ �������Ƴ����������� �������Ƴ�������状动脉血运重建病例,因此,他汀类药����� �������Ƴ������������ �������Ƴ������������ �������Ƴ������������ �������Ƴ�������物的效益-风险比仍是正向的。欧盟进一步指出,����� �������Ƴ������������ �������Ƴ����������� �������Ƴ������������ �������Ƴ�������此风险主要存在于那些已存在发生糖尿����� �������Ƴ������������ �������Ƴ������������ �������Ƴ������������ �������Ƴ������病风险的患者中,包括基线空腹血糖����� �������Ƴ������������ �������Ƴ������������ �������Ƴ������������ �������Ƴ�������升高(为评价的关键因素)、高血压史、����� �������Ƴ����������� �������Ƴ������������ �������Ƴ������������ �������Ƴ�������甘油三酯升高以及基线体重指数增加。因此,应����� �������Ƴ������������ �������Ƴ������������ �������Ƴ������������ �������Ƴ�������当依据相关指南对危险人群(如空腹血糖5.6����� �������Ƴ������������ �������Ƴ������������ �������Ƴ������������ �������Ƴ�������-6.9mmol/L之间,体重指数����� �������Ƴ����������� �������Ƴ������������ �������Ƴ������������ �������Ƴ�������大于30kg/m2,甘油三酯升高或患高血����� �������Ƴ����������� �������Ƴ������������ �������Ƴ����������� �������Ƴ�������压)在临床症状和生化指标两����� �������Ƴ������������ �������Ƴ����������� �������Ƴ������������ �������Ƴ�������方面进行监测。
(二)国内外药品不良反应监测情况
2004年1月1日至2012年3月31日����� �������Ƴ������������ �������Ƴ������������ �������Ƴ������������ �������Ƴ�������,国家药品不良反应监测中心病例报告数据库中共检索����� �������Ƴ������������ �������Ƴ������������ �������Ƴ������������ �������Ƴ�������到7例与他汀类药物使用及血糖异常相关的病����� �������Ƴ������������ �������Ƴ������������ �������Ƴ������������ �������Ƴ�������例,涉及的药品包括:辛伐他汀1例����� �������Ƴ������������ �������Ƴ������������ �������Ƴ������������ �������Ƴ�������、阿托伐他汀3例、瑞舒伐他汀3例。不良反应����� �������Ƴ������������ �������Ƴ������������ �������Ƴ������������ �������Ƴ�������表现为:血糖或空腹血糖升高、新����� �������Ƴ������������ �������Ƴ������������ �������Ƴ����������� �������Ƴ�������发糖尿病等,开始服药至发现血����� �������Ƴ������������ �������Ƴ����������� �������Ƴ������������ �������Ƴ������糖异常不良反应时间为1-3个月,不良����� �������Ƴ������������ �������Ƴ������������ �������Ƴ����������� �������Ƴ������反应结果均为好转。
典型病例:患者男,55岁,因高血����� �������Ƴ������������ �������Ƴ������������ �������Ƴ������������ �������Ƴ�������压、高血脂症,一直服用氯沙坦/����� �������Ƴ������������ �������Ƴ����������� �������Ƴ������������ �������Ƴ�������氢氯噻嗪、阿司匹林、酒石酸美托洛尔治疗。20����� �������Ƴ������������ �������Ƴ������������ �������Ƴ������������ �������Ƴ�������10年1月24日加服阿托伐他汀20mg/次,����� �������Ƴ������������ �������Ƴ����������� �������Ƴ������������ �������Ƴ�������一日一次降血脂治疗,用药前测血糖����� �������Ƴ����������� �������Ƴ������������ �������Ƴ������������ �������Ƴ�������,餐前空腹6.16mmol/L,餐����� �������Ƴ����������� �������Ƴ������������ �������Ƴ������������ �������Ƴ�������后2小时6.24mmol/L,服用至2010年3����� �������Ƴ������������ �������Ƴ������������ �������Ƴ������������ �������Ƴ�������月3日测血糖,餐前空腹6.95m����� �������Ƴ����������� �������Ƴ������������ �������Ƴ������������ �������Ƴ�������mol/L,餐后2小时8.45mmol/L,����� �������Ƴ������������ �������Ƴ������������ �������Ƴ������������ �������Ƴ�������血糖升高明显,怀疑为阿托伐����� �������Ƴ������������ �������Ƴ������������ �������Ƴ������������ �������Ƴ�������他汀所引起,遂停用此药。2010年3����� �������Ƴ������������ �������Ƴ������������ �������Ƴ������������ �������Ƴ������月20日测餐后2小时血糖降至正常(5.����� �������Ƴ����������� �������Ƴ������������ �������Ƴ������������ �������Ƴ�������7mmol/L)。
检索世界卫生组织药品不良反应数据库,截至2����� �������Ƴ������������ �������Ƴ������������ �������Ƴ������������ �������Ƴ�������012年4月6日,我国上市的8个他汀类药物����� �������Ƴ������������ �������Ƴ������������ �������Ƴ������������ �������Ƴ������中,有关血糖异常相关不良反应����� �������Ƴ������������ �������Ƴ������������ �������Ƴ������������ �������Ƴ�������共计2540例次,主要不良反应表现:高����� �������Ƴ������������ �������Ƴ������������ �������Ƴ������������ �������Ƴ������血糖、糖尿病、糖耐量异常、糖尿病加����� �������Ƴ������������ �������Ƴ������������ �������Ƴ������������ �������Ƴ�������重、低血糖等。相比较,阿托伐他汀、瑞舒伐他汀的����� �������Ƴ������������ �������Ƴ����������� �������Ƴ������������ �������Ƴ�������血糖异常报告比例较高。
二、药物相互作用
他汀类药物通过肝酶CYP3A4代谢,因此,����� �������Ƴ������������ �������Ƴ����������� �������Ƴ������������ �������Ƴ�������理论上认为对该酶有抑制作用的药物,均可导����� �������Ƴ������������ �������Ƴ������������ �������Ƴ������������ �������Ƴ�������致他汀类暴露量升高,增加包括横纹肌溶解在内的����� �������Ƴ������������ �������Ƴ������������ �������Ƴ������������ �������Ƴ�������严重不良反应的发生风险。此外,一些研����� �������Ƴ������������ �������Ƴ����������� �������Ƴ������������ �������Ƴ������究也证实了此类相互作用风险的存在。
近期,美国食品药品监督管理局(FDA����� �������Ƴ����������� �������Ƴ������������ �������Ƴ������������ �������Ƴ�������)对他汀类与人类免疫缺陷病毒����� �������Ƴ������������ �������Ƴ������������ �������Ƴ������������ �������Ƴ�������(HIV)和丙型肝炎病毒����� �������Ƴ������������ �������Ƴ����������� �������Ƴ������������ �������Ƴ�������(HCV)蛋白酶抑制剂的相互作用进行了警告。H����� �������Ƴ������������ �������Ƴ������������ �������Ƴ����������� �������Ƴ�������IV蛋白酶抑制剂是治疗HIV感染的抗病毒药����� �������Ƴ������������ �������Ƴ����������� �������Ƴ������������ �������Ƴ�������物,包括洛匹那韦、达芦那韦、沙奎那����� �������Ƴ������������ �������Ƴ������������ �������Ƴ������������ �������Ƴ�������韦、阿扎那韦、利托那韦等。HCV蛋白酶抑制����� �������Ƴ������������ �������Ƴ������������ �������Ƴ������������ �������Ƴ�������剂是用于治疗丙型肝炎感染的抗病毒药物,包括波����� �������Ƴ������������ �������Ƴ������������ �������Ƴ������������ �������Ƴ�������普瑞韦(boceprevir)和替拉瑞韦(te����� �������Ƴ����������� �������Ƴ������������ �������Ƴ������������ �������Ƴ�������laprevir),但均未在我国批准上市����� �������Ƴ������������ �������Ƴ������������ �������Ƴ����������� �������Ƴ�������。这两类药品均为CYP3A����� �������Ƴ������������ �������Ƴ������������ �������Ƴ����������� �������Ƴ�������4抑制剂,合并使用可能增加他汀类的血����� �������Ƴ����������� �������Ƴ������������ �������Ƴ������������ �������Ƴ�������药浓度,并增加肌肉损伤的风����� �������Ƴ����������� �������Ƴ������������ �������Ƴ������������ �������Ƴ�������险。
除HIV和HCV蛋白酶抑制����� �������Ƴ������������ �������Ƴ������������ �������Ƴ������������ �������Ƴ�������剂外,与其他CYP3A4抑����� �������Ƴ������������ �������Ƴ������������ �������Ƴ������������ �������Ƴ�������制剂或可能引起肌病的药物合����� �������Ƴ����������� �������Ƴ������������ �������Ƴ������������ �������Ƴ������用也可能带来同样的风险,如伊曲康唑����� �������Ƴ������������ �������Ƴ������������ �������Ƴ������������ �������Ƴ�������、酮康唑、红霉素、克拉霉素、泰利霉素、����� �������Ƴ����������� �������Ƴ������������ �������Ƴ������������ �������Ƴ������奈法唑酮、环孢素、胺碘酮、地尔硫卓等。
为控制药品相互作用带来的风险,����� �������Ƴ������������ �������Ƴ������������ �������Ƴ������������ �������Ƴ�������美国FDA修订的说明书除增加了对于他����� �������Ƴ������������ �������Ƴ������������ �������Ƴ������������ �������Ƴ������汀类药物与HIV和HCV蛋白酶抑����� �������Ƴ������������ �������Ƴ������������ �������Ƴ����������� �������Ƴ�������制剂相互作用情况的描述外,部分品种还增加了剂量限����� �������Ƴ������������ �������Ƴ������������ �������Ƴ������������ �������Ƴ�������制,如与奈非那韦合用,阿托伐他汀日剂量不超����� �������Ƴ������������ �������Ƴ������������ �������Ƴ������������ �������Ƴ�������过40mg,与阿扎那韦/利托那韦合用,����� �������Ƴ������������ �������Ƴ������������ �������Ƴ������������ �������Ƴ�������瑞舒伐他汀日剂量不超过10mg。此外,����� �������Ƴ������������ �������Ƴ������������ �������Ƴ������������ �������Ƴ�������由于洛伐他汀和辛伐他汀对CYP3����� �������Ƴ������������ �������Ƴ������������ �������Ƴ������������ �������Ƴ�������A4酶比较敏感,禁止这两种药品与H����� �������Ƴ������������ �������Ƴ������������ �������Ƴ������������ �������Ƴ�������IV或HCV蛋白酶抑制剂合用����� �������Ƴ����������� �������Ƴ������������ �������Ƴ������������ �������Ƴ�������,详见下表。
| 药物名称 | 相互作用的蛋白酶抑制剂 | 建议 |
阿托伐他汀 | 替拉那韦+利托那韦 | 避免与阿托伐他汀合用 |
替拉瑞韦 | 避免与阿托伐他汀合用 | |
洛匹那韦+利托那韦 | 慎用,尽可能用阿托伐他汀的最����� �������Ƴ������������ �������Ƴ������������ �������Ƴ������������ �������Ƴ�������小剂量 | |
达芦那韦+利托那韦 |
阿托伐他汀日剂量不超过20mg | |
福沙那伟 | ||
福沙那伟+利托那韦 | ||
沙奎那韦+利托那韦 | ||
奈非那韦 | 阿托伐他汀日剂量不超过40mg | |
氟伐他汀 | 无数据 | |
洛伐他汀 | HIV 蛋白酶抑制剂 |
禁忌 |
波普瑞韦 | ||
替拉瑞韦 | ||
匹伐他汀 | 阿扎那韦±利托那韦 |
无剂量限值 |
达芦那韦+利托那韦 | ||
洛匹那韦+利托那韦 | ||
帕伐他汀 | 达芦那韦+利托那韦 | 无剂量限值 |
匹那韦+利托那韦 | ||
瑞舒伐他汀 | 阿扎那韦±利托那韦 | 瑞舒伐他汀剂量不超过10mg每日1次 |
洛匹那韦+利托那韦 | ||
辛伐他汀 | HIV 蛋白酶抑制剂 |
禁忌 |
波普瑞韦 | ||
替拉瑞韦 |
三、建议
他汀类是治疗高胆固醇血症、����� �������Ƴ������������ �������Ƴ������������ �������Ƴ������������ �������Ƴ�������预防心血管疾病的有效药品。由于患����� �������Ƴ������������ �������Ƴ������������ �������Ƴ������������ �������Ƴ�������者可能需要长期用药,因此医务人员和患者应充分����� �������Ƴ������������ �������Ƴ������������ �������Ƴ������������ �������Ƴ�������重视此类药品的安全性问题,详细了解他汀类����� �������Ƴ������������ �������Ƴ������������ �������Ƴ������������ �������Ƴ������的禁忌症、不良反应、注意����� �������Ƴ������������ �������Ƴ������������ �������Ƴ������������ �������Ƴ�������事项、相互作用。在治疗前医生应����� �������Ƴ������������ �������Ƴ������������ �������Ƴ������������ �������Ƴ�������询问患者的既往病史(如肝����� �������Ƴ������������ �������Ƴ������������ �������Ƴ������������ �������Ƴ�������肾功能障碍、糖尿病)和联合用药情况,将可能存在的����� �������Ƴ������������ �������Ƴ������������ �������Ƴ������������ �������Ƴ�������安全性隐患告之患者,在增加剂量或调整治疗方案时,����� �������Ƴ����������� �������Ƴ������������ �������Ƴ������������ �������Ƴ�������应密切关注患者的不良反应发生情况。����� �������Ƴ������������ �������Ƴ������������ �������Ƴ������������ �������Ƴ�������
对于他汀类的血糖异常风险,如果患者出现多尿、����� �������Ƴ������������ �������Ƴ������������ �������Ƴ������������ �������Ƴ�������多饮、多食、疲乏等怀疑与糖尿病或血糖紊乱有关的����� �������Ƴ������������ �������Ƴ������������ �������Ƴ����������� �������Ƴ������症状,立即向医生咨询,以明确病因并采取适当的����� �������Ƴ����������� �������Ƴ������������ �������Ƴ������������ �������Ƴ�������处理措施。建议使用他汀类����� �������Ƴ����������� �������Ƴ������������ �������Ƴ����������� �������Ƴ�������的糖尿病患者密切监测血糖状����� �������Ƴ������������ �������Ƴ������������ �������Ƴ����������� �������Ƴ������况,如果出现血糖控制恶化,应����� �������Ƴ������������ �������Ƴ������������ �������Ƴ������������ �������Ƴ������立即就诊。
由于他汀类与较多药物存在相互����� �������Ƴ������������ �������Ƴ������������ �������Ƴ������������ �������Ƴ������作用,建议患者在治疗前将所有正在使����� �������Ƴ������������ �������Ƴ������������ �������Ƴ������������ �������Ƴ�������用的药品告之医生,并认真阅读����� �������Ƴ������������ �������Ƴ������������ �������Ƴ������������ �������Ƴ������药品说明书,与医生就用药的安全性问题����� �������Ƴ������������ �������Ƴ������������ �������Ƴ������������ �������Ƴ�������进行有效地的交流,保护自身����� �������Ƴ������������ �������Ƴ����������� �������Ƴ������������ �������Ƴ�������健康利益。
【药物过量】未进行该项实验且无可����� �������Ƴ����������� �������Ƴ������������ �������Ƴ������������ �������Ƴ�������靠参考文献。
【药理毒理】
&nb����� �������Ƴ������������ �������Ƴ������������ �������Ƴ������������ �������Ƴ�������sp; 本品为甲基羟戊二酰辅酶A����� �������Ƴ������������ �������Ƴ������������ �������Ƴ����������� �������Ƴ�������(HMG-CoA)还原酶抑制剂,����� �������Ƴ����������� �������Ƴ����������� �������Ƴ������������ �������Ƴ�������抑制内源性胆固醇合成,为血脂调节剂。动物实验表����� �������Ƴ������������ �������Ƴ������������ �������Ƴ����������� �������Ƴ�������明洛伐他汀能降低TritonWR-13����� �������Ƴ������������ �������Ƴ������������ �������Ƴ������������ �������Ƴ�������39所引起的高血脂症大鼠的血清����� �������Ƴ������������ �������Ƴ������������ �������Ƴ������������ �������Ƴ�������胆固醇(TC),甘油三酯(T����� �������Ƴ������������ �������Ƴ������������ �������Ƴ������������ �������Ƴ������G),低密度脂蛋白(LDL)及肝脏TC浓度,����� �������Ƴ������������ �������Ƴ������������ �������Ƴ����������� �������Ƴ�������升高高密度脂蛋白(HDL)水平。
【药代动力学】
&nb����� �������Ƴ������������ �������Ƴ������������ �������Ƴ������������ �������Ƴ�������sp; 文献资料表明:口服洛伐����� �������Ƴ������������ �������Ƴ����������� �������Ƴ����������� �������Ƴ�������他汀后2~4小时血浆浓度中的浓����� �������Ƴ������������ �������Ƴ������������ �������Ƴ������������ �������Ƴ�������度达峰值。洛伐他汀有高度的����� �������Ƴ������������ �������Ƴ������������ �������Ƴ������������ �������Ƴ�������肝脏选择性,在肝脏的浓度明显高于其他组织。洛伐他����� �������Ƴ����������� �������Ƴ����������� �������Ƴ������������ �������Ƴ������汀的作用主要是在肝脏发挥,大����� �������Ƴ������������ �������Ƴ������������ �������Ƴ������������ �������Ƴ�������部分的药物经过肝脏组织被吸收,����� �������Ƴ������������ �������Ƴ����������� �������Ƴ������������ �������Ƴ�������随后从胆汁中排泄。
【贮 藏】����� �������Ƴ������������ �������Ƴ����������� �������Ƴ������������ �������Ƴ�������避光,密封保存。
【包  ����� �������Ƴ������������ �������Ƴ����������� �������Ƴ������������ �������Ƴ�������; 装】铝塑板,6����� �������Ƴ������������ �������Ƴ������������ �������Ƴ������������ �������Ƴ�������片/板;10片/板;12片����� �������Ƴ������������ �������Ƴ����������� �������Ƴ������������ �������Ƴ�������/板;14片/板;15片/板;1板����� �������Ƴ������������ �������Ƴ������������ �������Ƴ����������� �������Ƴ������/盒;2板/盒。
【有 效 期】24个月。
【执行标准】《中国药典》2����� �������Ƴ������������ �������Ƴ������������ �������Ƴ������������ �������Ƴ�������015年版二部
【批准文号】10mg:国药准字����� �������Ƴ������������ �������Ƴ������������ �������Ƴ����������� �������Ƴ�������H20065731;20mg:国����� �������Ƴ������������ �������Ƴ������������ �������Ƴ������������ �������Ƴ�������药准字H20065732。
【生产企业】
企业名称:山东罗欣药����� �������Ƴ������������ �������Ƴ������������ �������Ƴ������������ �������Ƴ�������业集团股份有限公司
生产地址:山东省临沂高新技术产����� �������Ƴ����������� �������Ƴ������������ �������Ƴ������������ �������Ƴ�������业开发区罗七路
邮政编码:276����� �������Ƴ������������ �������Ƴ������������ �������Ƴ������������ �������Ƴ�������017
电话号码:0����� �������Ƴ������������ �������Ƴ����������� �������Ƴ����������� �������Ƴ������539-8257899、����� �������Ƴ������������ �������Ƴ������������ �������Ƴ������������ �������Ƴ�������8481991
传真号码:0539-8481990
售后服务:053����� �������Ƴ������������ �������Ƴ������������ �������Ƴ������������ �������Ƴ�������9-8242699
网 &����� �������Ƴ������������ �������Ƴ������������ �������Ƴ������������ �������Ƴ������nbsp; 址:www����� �������Ƴ������������ �������Ƴ������������ �������Ƴ������������ �������Ƴ�������.luoxin.cn
高胆固醇血症。饮食疗法和其他非药物治����� �������Ƴ������������ �������Ƴ������������ �������Ƴ������������ �������Ƴ�������疗反应欠佳时,降低原发性高胆固����� �������Ƴ������������ �������Ƴ������������ �������Ƴ������������ �������Ƴ�������醇血症患者的总胆固醇(TC)和低密度����� �������Ƴ������������ �������Ƴ������������ �������Ƴ������������ �������Ƴ�������脂蛋白胆固醇(LDL-C)。
病人在接受本品治疗前及治疗过程中����� �������Ƴ������������ �������Ƴ������������ �������Ƴ������������ �������Ƴ�������应使用标准降胆固醇饮食。
一般起始剂量为每日20mg,����� �������Ƴ����������� �������Ƴ������������ �������Ƴ������������ �������Ƴ�������晚餐时一次顿服,至少应在服药4周后����� �������Ƴ������������ �������Ƴ������������ �������Ƴ������������ �������Ƴ�������方可调整剂量,最大剂量可至80m����� �������Ƴ������������ �������Ƴ������������ �������Ƴ������������ �������Ƴ�������g,一次顿服或分早、晚餐分次服用。����� �������Ƴ������������ �������Ƴ������������ �������Ƴ������������ �������Ƴ�������
轻、中度高胆固醇血症患者起始剂量为10mg。����� �������Ƴ������������ �������Ƴ������������ �������Ƴ������������ �������Ƴ�������当LDL-C降至75mg/100ml(1.94����� �������Ƴ������������ �������Ƴ������������ �������Ƴ������������ �������Ƴ�������mmol/L)以下或TC降至140mg/1����� �������Ƴ������������ �������Ƴ������������ �������Ƴ������������ �������Ƴ�������00ml(3.6mmol/L)以下时,����� �������Ƴ������������ �������Ƴ������������ �������Ƴ������������ �������Ƴ������本品应减量。